虹吸管是一种弯管,用来将液体从高液位转移到低液位。液体通常从高液位流到低液位,而虹吸效应可以将液体从高液位流到更高液位,然后再流回更低液位。这种效应是可能的,因为在较高的液位中,液体表面的空气受到压力,从而推动液体。
虹吸效应是如何工作的?
虹吸管最高点的C点称为峰顶。由于点c高于水箱A中水的自由表面,c处的压力将小于大气压力。
理论上,c的压力可以降低到-10.3m的水,但在实际中,这个压力仅为-7.6m的水或2.7m的绝对水。
当c处的压力小于2.7m的绝对水时,溶解的空气和其他气体会从水中出来,聚集在峰顶。
水流将被阻塞。
谁发明了虹吸效应?
人类使用虹吸管已经有几个世纪的历史了。虹吸管最早出现在古埃及艺术中。它描述了他们使用虹吸管从大储酒罐中提取葡萄酒。他们巧妙地使用虹吸管将葡萄酒从表面杂质和底部渣滓中分离出来。
亚历山大的希腊数学家希罗是第一个描述虹吸效应的人。他进行了许多实验,并在他的工程论文《气动》中写了相关的文章。
虹吸效应用在什么地方?
今天,虹吸由于其低功耗要求和简单的结构,享有广泛的应用。它们通常用于家庭应用,如抽水马桶、啤酒龙头和简单的园艺洒水器。
虹吸管也被大规模地用于农业地区的灌溉。由于它们的低能耗和成本,它们非常适合从水源向肥沃的干旱山谷长距离输送水。
虹吸效应背后的科学原理是什么?
人们提出了许多理论来解释虹吸管的工作原理。直到今天,对于究竟是什么导致了虹吸效应,仍存在着激烈的争论。但科学家们得出结论,这是两个因素的结果。大气压力和连锁理论。
大气压力理论是早期描述虹吸效应的理论之一。它的理论是,当液体通过管道被吸入时,吮吸的行为会导致管道内的压差,在最高点形成一个低压区。这个压差使液体从储层表面的高压区流向位于最高点的低压区。这一理论的主要缺陷是,虹吸管已被证明可以在高真空(没有空气,没有大气压力)下工作。
最近提出的理论是引力和黏聚力共同作用的理论。它基于链式模型。这个模型把流体看作是一个由内聚键连接在一起的链。链条首先被另一个力向上通过管道,直到它通过弯曲处,然后重力接管,将整个流体向下拉,就像链条上的滑轮,直到储液器空了。这一理论也被否定了,因为虹吸管是为粘结力低或弱的流体制造的。
如今,工程师们结合使用这两种理论来解释不同条件下的虹吸效应。
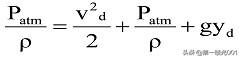
在模拟虹吸管中的流体时,最常用的数学近似是伯努利理论。
这在数学上表示为:
其中v=局部速度,g =重力加速度,P=压力,y=到储层表面的垂直距离,ρ =流体的密度
这个方程把整个虹吸作为一个系统来模拟。
假设在RL +5m高度的蓄水池中有一个潜水泵。水被泵出RL +8m的墙,并在RL 0m排出。让我们求出当管用作虹吸时出口的排气速度。
为了求出这个,我们将伯努利方程应用于方程组中的三点:
1. 水库的表面。point3最高。放电点
假设泵用于启动虹吸,并在流量开始后关闭,那么由于摩擦和其他影响造成的损失可以忽略不计。
在表面(2):
速度Vs=0米/秒(我们将储层表面建模为无穷大)
压力Ps = P atm(大气压力)距离地面(y) = 0m
在最高点(h(3))处:
在h,我们有速度= vh压力= Ph > patm距离表面yh = 8m - 5m = 3m。
在最低点(d(4)):
压力=Ph = patm距离地面= 0-5= -5m
为了求速度Vd,我们让(2)与(4)相等,得到:。
然后我们有
代入数值求解,得到速度为9.9m/s
然而,维持虹吸的条件是有限的。维持虹吸管的主要限制是空气。虹吸必须是密封的,因为系统中过多的空气会破坏虹吸运行所依赖的真空。
此外,虹吸的高度受到液体的蒸汽压和当地大气压力为例,来维持一个虹吸系统中泵水从水库在海平面上,储层的表面之间的距离和最高点管不应超过10米。
当管道最高点超过10m时,最高点处的压力等于水的蒸汽压。当这种情况发生时,水开始沸腾,打破了使液体链凝聚在一起的凝聚力,从而中断了虹吸。有趣的是,高得多的虹吸管已经被用于脱气水。
摩擦如何影响虹吸?
在虹吸管中,当虹吸管被填满时,管的进口、出口和内壁的摩擦力和水的惯性力往往对流动产生阻力。但这通常被抽吸力克服,因为在大多数实际应用中,在虹吸开始之前,管子通常是被外力充满的。
当流体开始流动并且只由虹吸提供动力时,由摩擦造成的水头损失就成为虹吸提供的流速的函数。摩擦造成的水头损失随着流速的增加而增加,即随着湍流的增加,摩擦造成的损失也随之增加。由于摩擦力的损失是流速的函数,它不会停止流动,它只是降低了流动速度。
为了找出摩擦引起的速度下降,我们引入阻力系数K到方程中,以解释摩擦造成的损失。
K = (f *L /D) + 1.9(其他来源)..........(6)
式中:f =管道(铁= .019,钢= .013,塑料= .007)的摩擦系数L =变化量(运行长度),(m)d =管道内径(m)
因此修改(5)得到流速(m/s):
虹吸如何影响泵输送系统?
正如我们在上面的章节中所看到的,虹吸效应在农业、工程和普通日常应用领域有许多用途。但在某些系统中,它也会成为一个问题。
在一些泵系统中,虹吸效应可以与某些管道配置串联使用,以提高压头,但如果设计不当,它也会导致某些问题。
如何在系统中发生?
由于管道的配置,泵送系统中可能发生虹吸现象。虹吸管是由水库和排放点之间的垂直距离驱动的。它发生在排放点低于水库或泵站的情况下。
在虹吸中获得的流速和体积流量是由泵点和排出点之间的垂直距离驱动的。距离越大,流速越大。
虹吸会导致什么类型的问题?
让我们以上面例子中的潜水泵为例。假设将水泵注满一个游泳池,在达到一定水位后关闭,由于水库和排水点的布置,即使关闭水泵,水仍会继续流动,导致游泳池溢出。
另一个问题出现了,如果我们逆转配置,水泵是把水从一个较低的水库到较高的“游泳池”。水泵关闭后,由于没有净压差,水从低侧流向高侧,池中的废水开始回流到储水池中。这就是所谓的反虹吸,它是一个大的公共卫生问题,因为危险的污染物可能被吸进水系统。
我们如何针对这些问题进行设计?
针对这些问题有多种设计方法,最常见的方法通常是将阀门与流量保持一致。这些阀门的一些例子如下:
电磁阀:这是一种电控阀门,可以帮助防止溢流,在泵停止时立即关闭管道中的水流。
止回阀:这种阀也可以用来防止反虹吸,当它被放置在与流量一致时。它的特殊配置有助于确保流动只朝着一个方向。它通常放置在泵的后面,以保护泵不发生回流。
但在某些情况下,电磁阀/止回阀可能过于昂贵或不适合设计。
这种情况下使用空气/真空断路器组合阀。空气/真空断路阀通常安装在系统的最高点。它有两个用途,排出系统中多余的空气,防止压力积聚,同时允许空气进入系统打破真空,消除虹吸效应。
对于数百米以上的复杂管道,需要在管道长度的不同位置安装不同形式和尺寸的阀门,以提供适当的通风。但对于一个简单的设计,如上面给出的,一个简单的真空切断阀可以使用。它必须安装在最高点,而且必须使用合适的尺寸。
如何确定空气/真空阀的尺寸:
在确定空气/真空释放阀的尺寸时,大多数工程师使用的是标准的经验法则,即每0.3m管道直径,阀门直径为25mm。
但是对于需要精细控制的更复杂的应用,大多数阀门公司都会发布白皮书和规范,说明如何正确选择和安装他们的产品。










